Evolution is a fundamental concept in biology that explains how living organisms have changed over time through the process of natural selection. One way to understand the evidence for evolution is through worksheets that allow students to explore different examples and concepts related to this topic. These worksheets can help reinforce key ideas and provide a hands-on approach to learning about evolution.
By completing an evidence of evolution worksheet, students can engage with different types of evidence that support the theory of evolution. This can include studying fossil records, comparing anatomical structures, and analyzing genetic information. Through these activities, students can see firsthand how scientists have pieced together the history of life on Earth and how living organisms have evolved over millions of years.
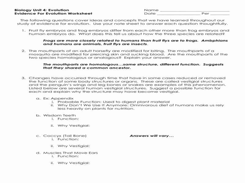
One common activity in an evidence of evolution worksheet is analyzing homologous structures. These are structures that have similar anatomical features but may serve different functions in different species. By comparing these structures in different organisms, students can see how these similarities point to a shared ancestry and common descent. This provides powerful evidence for the theory of evolution and helps students understand how species have changed over time.
Another important concept covered in evidence of evolution worksheets is the study of transitional fossils. These are fossils that show intermediate forms between different groups of organisms, providing evidence for how species have evolved over time. By examining these fossils, students can see the gradual changes that have occurred in species as they adapt to new environments and ecological pressures.
Additionally, evidence of evolution worksheets may also include activities that explore the role of genetics in evolution. By studying genetic similarities and differences between species, students can see how changes in DNA can lead to the evolution of new traits and the formation of new species. This hands-on approach to learning about genetics and evolution can help students understand the mechanisms behind how evolution occurs.
In conclusion, evidence of evolution worksheets provide a valuable tool for teaching students about the theory of evolution and the evidence that supports it. By engaging with different types of evidence, students can gain a deeper understanding of how living organisms have changed over time and the processes that drive this change. These worksheets can help reinforce key concepts and spark curiosity about the history of life on Earth.
