Exponents can be a challenging concept for students to grasp, but with practice and repetition, they can become more comfortable with this important mathematical operation. One way to reinforce exponent skills is through the use of practice worksheets. These worksheets provide students with opportunities to apply their knowledge of exponents in various problems and scenarios, helping to solidify their understanding of this mathematical concept.
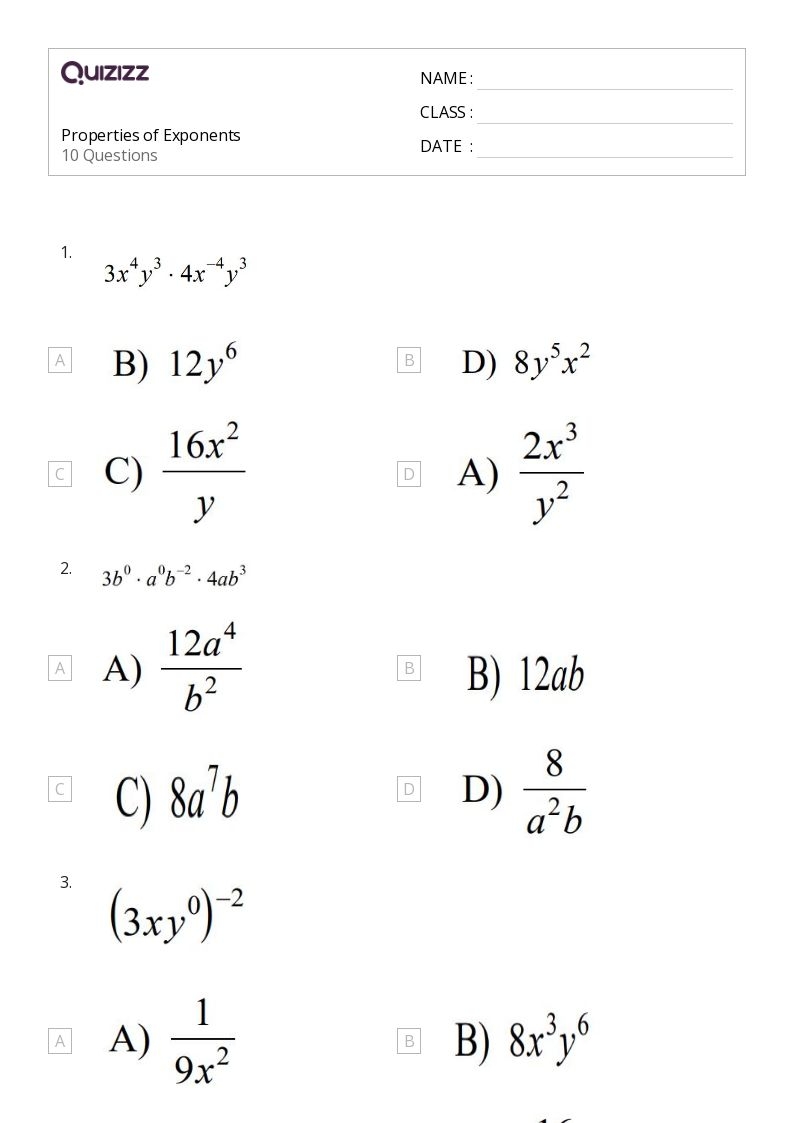
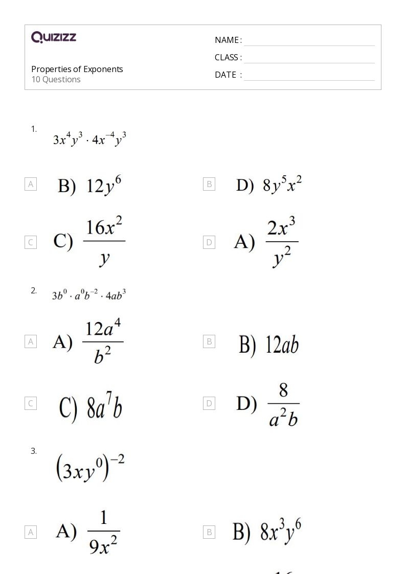
Exponent practice worksheets typically include a variety of problems that require students to simplify expressions with exponents, solve exponent equations, and apply exponent rules. By working through these problems, students can strengthen their ability to manipulate exponents and gain confidence in their math skills.
One common type of problem found on exponent practice worksheets is simplifying expressions with exponents. For example, students may be asked to simplify expressions like 2^3 * 2^4 or (3^2)^3. By applying the rules of exponents, students can learn how to combine like terms and simplify complex expressions efficiently.
In addition to simplifying expressions, exponent practice worksheets also often include problems that require students to solve exponent equations. These problems challenge students to find the value of the variable in equations like 4^x = 64 or (5^2)^y = 625. By solving these equations, students can improve their problem-solving skills and deepen their understanding of exponents.
Exponent practice worksheets may also incorporate word problems that involve exponents, giving students the opportunity to apply their exponent knowledge in real-world scenarios. These problems help students see the practical applications of exponents and how they can be used to solve various problems in everyday life.
In conclusion, exponent practice worksheets are valuable tools for helping students improve their understanding of exponents and develop their math skills. By working through a variety of problems that require them to simplify expressions, solve equations, and apply exponent rules, students can build confidence in their ability to work with exponents and tackle more complex math problems. With consistent practice and reinforcement, students can become proficient in using exponents and excel in their mathematical studies.
