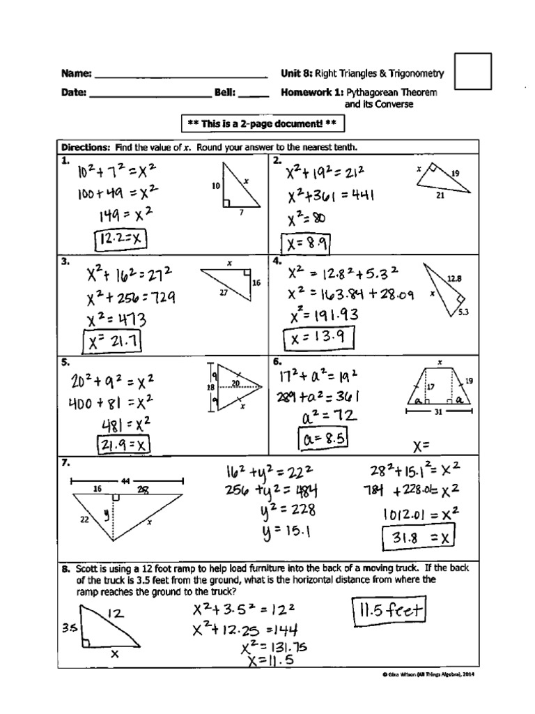
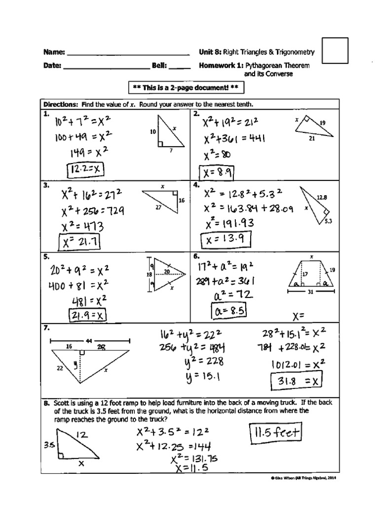
The Pythagorean Theorem is a fundamental concept in geometry that states in a right-angled triangle, the square of the length of the hypotenuse is equal to the sum of the squares of the other two sides. This theorem is widely used in various mathematical and real-world applications, making it essential for students to understand and practice.
One of the best ways for students to practice applying the Pythagorean Theorem is through worksheets. These worksheets provide exercises that help students reinforce their understanding of the theorem and improve their problem-solving skills. In particular, Pythagorean Theorem worksheet PDFs are convenient resources that can be easily downloaded and printed for use in the classroom or at home.
When working on a Pythagorean Theorem worksheet PDF, students are presented with a variety of problems that involve finding the length of a side in a right-angled triangle using the theorem. These problems may vary in difficulty, requiring students to apply different strategies and techniques to solve them.
Some worksheets may include word problems that challenge students to apply the Pythagorean Theorem in real-life situations, such as calculating the distance between two points on a map or determining the length of a ladder needed to reach a certain height. By practicing these types of problems, students can develop a deeper understanding of how the theorem can be used in practical scenarios.
Additionally, Pythagorean Theorem worksheet PDFs often come with answer keys that allow students to check their work and verify their solutions. This immediate feedback can help students identify any mistakes or misconceptions they may have and make corrections as needed.
Overall, Pythagorean Theorem worksheet PDFs are valuable resources for students to practice and master the concepts related to the theorem. By regularly working on these worksheets, students can improve their problem-solving skills, build confidence in their mathematical abilities, and enhance their overall understanding of geometry.
In conclusion, Pythagorean Theorem worksheet PDFs are effective tools for students to practice applying the theorem and strengthen their mathematical skills. By working through the problems on these worksheets, students can enhance their understanding of geometry and develop the ability to solve a variety of problems using the Pythagorean Theorem.
