Quadratic equations are equations of the form ax^2 + bx + c = 0, where a, b, and c are constants and a ≠ 0. One common method of solving quadratic equations is by factoring. Factoring involves breaking down the quadratic equation into two separate linear equations, which can then be solved to find the values of x.
Factoring quadratic equations can be a useful skill to have, as it allows you to quickly and efficiently find the solutions to these types of equations. By factoring, you can easily identify the roots or solutions of the equation, which are the values of x that make the equation true.
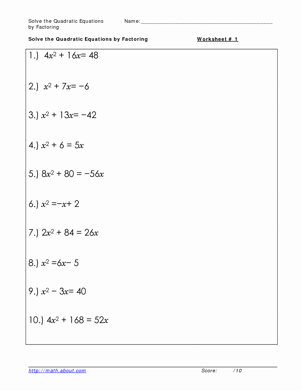
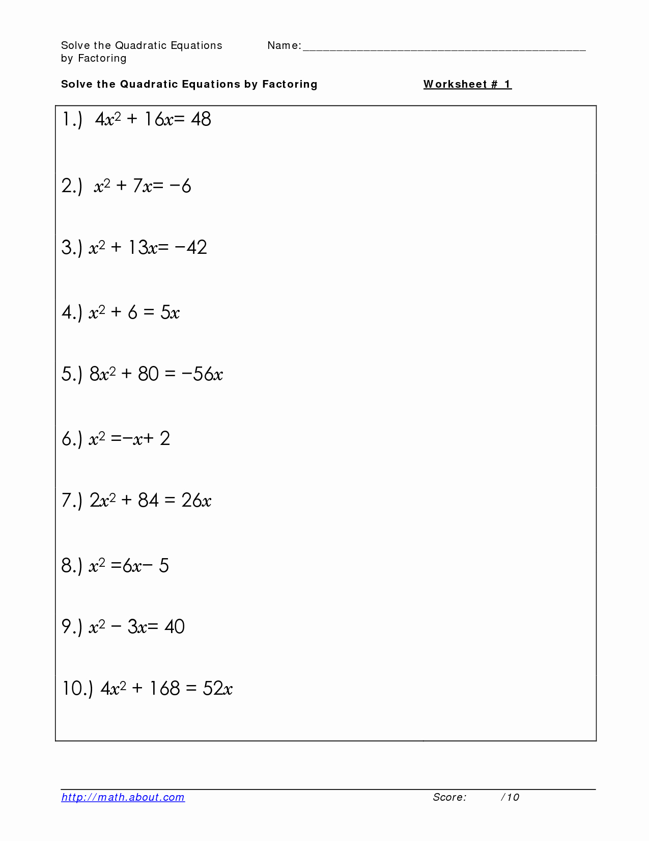
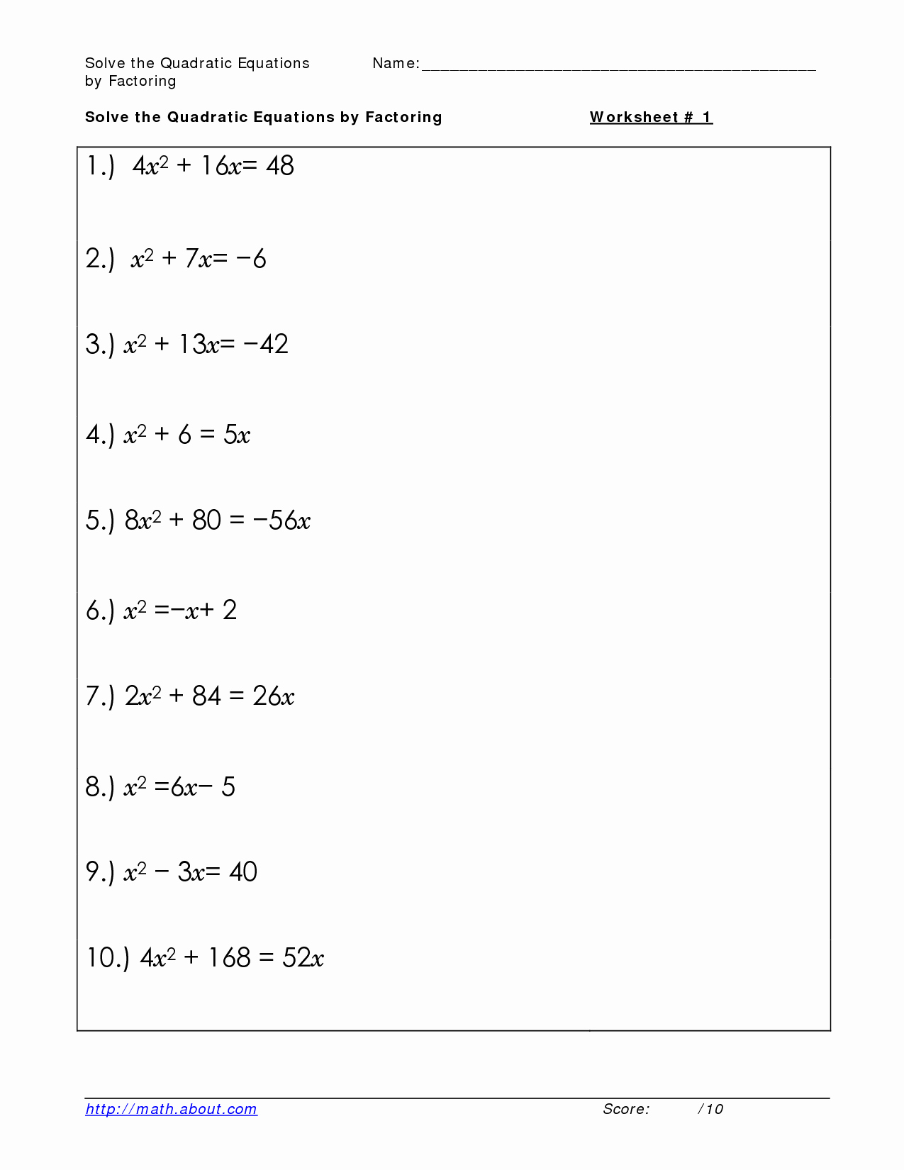
Solving Quadratic Equations by Factoring Worksheet
When solving quadratic equations by factoring, the first step is to set the equation equal to zero. Once the equation is in the form ax^2 + bx + c = 0, you can then factor the equation into two binomials. To do this, look for two numbers that multiply to ac (the product of a and c) and add up to b (the coefficient of the x term).
After factoring the quadratic equation into two binomials, set each binomial equal to zero and solve for x. The solutions you find for x will be the roots of the quadratic equation. It is important to check your solutions by plugging them back into the original equation to ensure they are correct.
Factoring quadratic equations can sometimes be challenging, especially when the coefficients a, b, and c are large or when the equation is not easily factorable. In such cases, you may need to use other methods such as the quadratic formula or completing the square to solve the equation.
Practicing solving quadratic equations by factoring with worksheets can help reinforce your understanding of the process and improve your problem-solving skills. These worksheets typically contain a variety of quadratic equations for you to factor and solve, allowing you to practice different techniques and strategies for finding the solutions.
Overall, solving quadratic equations by factoring is a valuable skill that can be useful in various mathematical and real-world applications. By mastering this technique through practice and worksheets, you can become more proficient at solving quadratic equations and improve your mathematical abilities.
For more practice and resources on solving quadratic equations by factoring, consider using online worksheets, textbooks, or seeking assistance from a tutor or teacher. With dedication and practice, you can become confident in your ability to solve quadratic equations efficiently and accurately.
